open-discussion
open-discussion > The impact of head motion on this dataset
Nov 19, 2017 09:11 AM | bain lau
The impact of head motion on this dataset
I am doing regressing analysis on the senior age ranges of this
dataset.
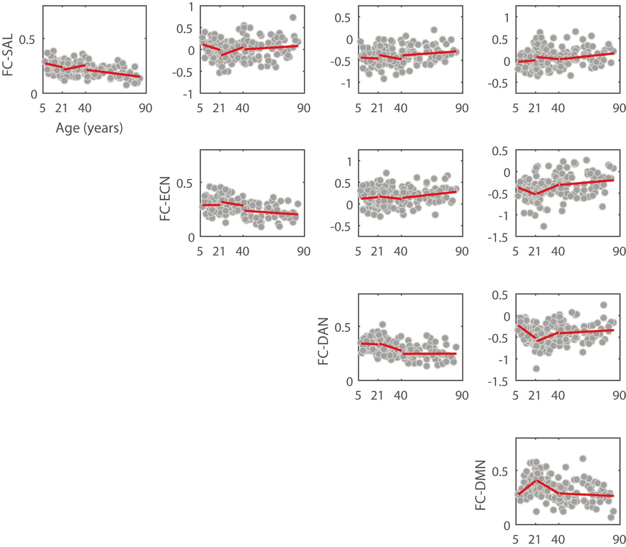
The internetwork FC were generally decreased with ageing, with was not agree with the U shape of lifespanstrategy.
I checked the head motion parameters and found a significant linear relationship between head motion level with age.
I want to know, if this dataset has been affected by great level of head motion.
Thank you.
The internetwork FC were generally decreased with ageing, with was not agree with the U shape of lifespanstrategy.
I checked the head motion parameters and found a significant linear relationship between head motion level with age.
I want to know, if this dataset has been affected by great level of head motion.
Thank you.
Threaded View
| Title | Author | Date |
|---|---|---|
| bain lau | Nov 19, 2017 | |
| bain lau | Nov 19, 2017 | |
